The results of the RF upper-air network performance monitoring. IV Quarter of 2025.


Regional administrations ranking


Observational program fulfillment
Observational program fulfillment
In the previous Quarter | Up..

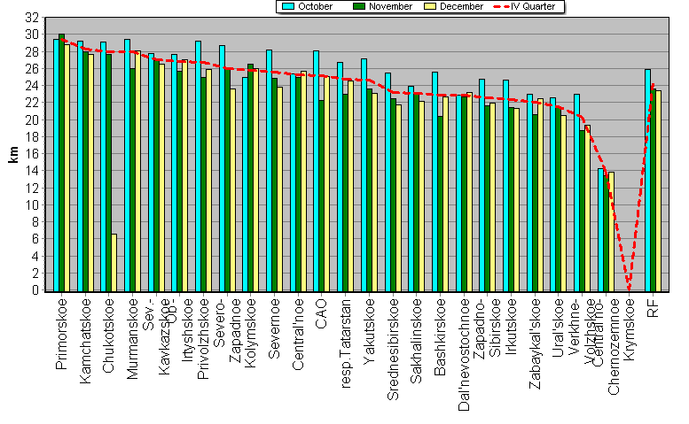
Heights of soundings
Heights of soundings
In the previous Quarter | Up..

Weighted root-mean-square 'OB-FG' geopotential differences in 1000-100 hPa layer
Weighted root-mean-square 'OB-FG' geopotential differences in 1000-100 hPa layer
In the previous Quarter | Up..

Root-mean-square 'OB-FG' wind vector differences in 850-100 hPa layer
Root-mean-square 'OB-FG' wind vector differences in 850-100 hPa layer
In the previous Quarter | Up..


© 2005-2025, Department of operational monitoring, NTCR CAO